Skip to content
Home
Classes Offered
Schedule
Registration Form
Suggested Items for Bag
Frequently Asked Questions
Contact
Facebook
Search
Home
Classes Offered
Schedule
Registration Form
Suggested Items for Bag
Frequently Asked Questions
Contact
Search
Cart
Item added to your cart
View cart
Check out
Continue shopping
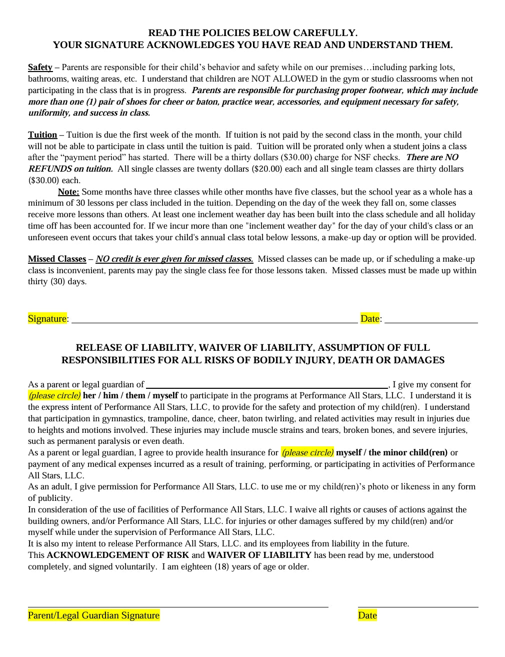
Registration Form
Please print out BOTH pages and fill out our registration form and come be a part of our family!
Choosing a selection results in a full page refresh.
Opens in a new window.